透水性(透水性とは?)
土壌透水性の名称について
土壌の透水性というのは土壌が水を通しやすいか通しにくいかという性質のことです。
土壌体内での水の流動は、条件によってあらゆる方向におこなわれますが通常、水が土壌の外から内へ流入する場合(浸入)と内から外へ流出する場合(排水)とに大別されます。
主として流路の条件によって両者ともに種々の形態の流動を生ずるので、それぞれ異なる呼名が与えられ区別されています。

土壌の透水係数について
土壌透水性の度合いを透水係数k[m/s]で表します。透水係数kが高いと水を通しやすく水はけが良いといいます。
これに対して、kが低いと水を通しにくく水が抜けにくいことを表します。
例えば、砂のように粒子が粗い土は間隙が大きく透水性が良く、逆に粘土のように粒子が細かい場合には間隙が小さく水が通りにくく透水性は低いと言えます。
透水係数k [m/s]と土との関係を図1に示します。

図1 土の種類と透水係数k
透水係数kの測定方法① 定水位透水試験
- 定水位透水試験 透水性の良い(高い)砂質土に適用

図2 定水位透水試験による透水係数計測原理
図2に示すように、試料を断面積Aで長さLの容器(試料容器)に入れ、それを水で満たされた容器Cに浸けます。
試料容器の上から水を入れ、飽和土状態にした後、水面の高さを一定に保つよう上部から水を供給します。
試料容器の底には水だけが通過できる穴が開いています。
容器を通過する速度uは「ダルシー法則」からヘッド差Hに比例し、長さLに反比例するものとします。
その比例定数k [m/s]が透水係数です。したがって、試料を通過する水の速度は、

と表せます。
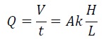
また、流体の「連続の式」から体積流量Q [m3/s]は

と表せます。
したがって、この流量分だけ試料容器から周囲の容器Cに水が出ていきます。
一方、この試料容器から出てきた水は、水で満たされた容器Cの水位を高めますから、時間t [sec]の間に体積V [m3] の水が溢れ出ます。
この時の体積流量はV/tと計算できます。
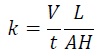
試料容器から出てきた量が容器Cからあふれた量と等しいことから、次の関係が得られます。

と表せます。
これより、透水係数kは、

と求めることができます。
定水位透水試験をおこなうには
定水位法で土壌の透水性試験をおこなうには「DIK-4012 土壌透水性測定器 4点式」を使用します。
透水係数kの測定方法① 変水位透水試験
・変水位透水試験(飽和透水係数計測) 透水性の悪い(低い)土に適用

図3 変水位透水試験による透水係数計測原理
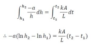
図3に示すように、試料の入った容器に管内側断面積aの管を立て、全体を水で満たします。
その試料容器ごと水で満たされた容器Cに入れます。
ある時刻t1で管の中には容器Cの水面から測った高さh1まで水が入っています。
このヘッドh1が試料容器内の水を押し出す圧力となります。
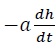
試料容器から水が押し出されると管内の水位は押し出された分に相当する高さhまで下がります。
管内水位の下がる速度は
–dh/dt
と表されます。
このマイナス記号は時間が経つと水位が下がることを意味しています。
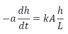
一方、試料容器から出てきた水は容器Cの水面の水面を上昇させますから、その分容器の外に溢れることになります。
溢れた体積Vを時間t=t2–t1で割った値は体積流量を表し、それは断面積A,長さLの試料を通過してくる流量と等しいことから、
![]()
となります。ここに、kは透水係数 [m/s]、hはヘッド差(水面差)[m]です。
また、断面積aの管内の減った流量は断面積×降下速度と計算できるので、

と書けます。
式(1)の流量と管内の減少流量は等しいことから、

となり、この式の両辺を積分すると、

となります。この関係から、kを求めるために変形すると、

自然対数lnを常用対数log10に変換すると、ln=ln10×log10=2.303 log10ですから、上式は

となります。log10をlogと書けば、
![]()
水の粘性は温度により変化するので、隙間を流れる流れの流れやすさに影響します。
このため、式(2)の透水係数を15℃のときの粘性η15およびk15を基準に、T ℃の時の透水係数kTを次式で補正します。

なお、ηT [mPa・s=10-3Pa・s] は次式を用いて算出します*。Tは温度(℃)です。


図4 温度T℃に対する水の粘性ηT [mPa・s]
* 土壌物理性測定法 農林省農林水産技術会議事務局監修 土壌物理性測定法委員会編
p.483、1978 養賢堂
変水位透水試験をおこなうには
●変水位法で土壌の透水性測定をおこなうには主に「DIK-4050 変水位透水性測定器 5点式」を使用します。
●変水位透水性測定にて特に透水の悪い土壌試験をおこなうには、時間カウント作業を自動化する「DIK-4060 デジタル土壌透水性測定器 5点式」がおすすめです。
自動で測定開始から終了までの時間測定をおこない、飽和透水係数の計算もパソコンソフトで自動で算出されるので、便利です。
●DIK-4060 デジタル土壌透水性測定器 5点式のように5点も測定する必要の無い方は「DIK-4056 デジタル土壌透水性測定器 1点式」が導入コストを抑えることができます。
●変水位透水性測定の時間カウントよりも、さらに自動化をおこなうには「DIK-4065 自動給水型デジタル透水モニター 5点式」がおすすめです。
この製品は土壌サンプルへの給水を自動でおこない、また最大5回まで繰り返し測定ができるため、測定開始後の確認操作が必要なく、夜間などの測定者がいない時間でも測定を継続することができます。
監修 東洋大学名誉教授 望月 修

DIK-4012 土壌透水性測定器 4点式


